syslin — définition d'un système dynamique linéaire
[sl]=syslin(dom,A,B,C [,D [,x0] ]) [sl]=syslin(dom,N,D) [sl]=syslin(dom,H)
chaîne de caractères ('c',
'd'), ou [] ou un
scalaire.
matrices de la représentation d'état (D est
optionnelle, matrice nulle par défaut). Pour les systèmes impropres
D est une matrice polynomiale.
vecteur (état initial, vecteur nul par défaut)
matrices polynomiales
matrice rationnelle
tlist (liste de type "syslin") représentant
le système dynamique
syslin définit un système dynamique linéaire en
temps que liste typée, et vérifie la consistance des données.
dom spécifie le domaine temporel :
dom='c' pour un système à temps continu,
dom='d' pour un système à temps discret,
n pour un système échantillonné à la période
n (en secondes).
dom=[] si le domaine temporel n'est pas
défini
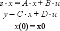
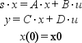
Représentation d'état :
sl=syslin(dom,A,B,C [,D [,x0] ])
représente le système :

La sortie de syslin est une liste de la forme
suivante : sl=tlist(['lss','A','B','C','D','X0','dt'],A,B,C,D,x0,dom)
Notez que D peut être une matrice polynomiale (systèmes
impropres).
Représentation sous forme de matrice de transfert :
sl=syslin(dom,N,D) sl=syslin(dom,H)
La sortie de syslin est une liste de la forme :
sl=tlist(['r','num','den','dt'],N,D,dom) ou
sl=tlist(['r','num','den','dt'],H(2),H(3),dom).
Les systèmes linéaires obtenus en sortie de
syslin peuvent être manipulés comme des matrices
usuelles (concaténation, extraction, transposition, multiplication, etc.)
dans les deux types de représentation (représentation d'état ou matrice de
transfert).
La plupart des fonctions de la librairie de contrôle acceptent les
listes de type syslin en argument au lieu des quatre
matrices de la représentation d'état.
A=[0,1;0,0];B=[1;1];C=[1,1];
S1=syslin('c',A,B,C) // Définition du système
S1.A // La matrice A
S1.X0, S1.dt // affichage de X0 et du domaine temporel
s=poly(0,'s');
D=s;
S2=syslin('c',A,B,C,D)
H1=(1+2*s)/s^2, S1bis=syslin('c',H1)
H2=(1+2*s+s^3)/s^2, S2bis=syslin('c',H2)
S1+S2
[S1,S2]
ss2tf(S1)-S1bis
S1bis+S2bis
S1*S2bis
size(S1)