bvode — boundary value problems for ODE using collocation method
zu=bvode(xpoints,N,m,x_low,x_up,zeta,ipar,ltol,tol,fixpnt,fsub,dfsub,gsub,dgsub,guess)
zu=bvodeS(xpoints,m,N,x_low,x_up,fsub,gsub,zeta, <optional_args>)
a column vector of size M. The solution of the ode evaluated on the mesh given by points. It contains z(u(x)) for each requested points.
an array which gives the points for which we want to observe the solution.
a scalar with integer value,number of differential equations (N <= 20).
a vector of size N with integer elements.
It is the vector of order of each differential equation:
m(i) gives the order of the i-th differential equation. In
the following, M will represent the sum of the
elements of m.
a scalar: left end of interval
a scalar: right end of interval
a vector of size M,zeta(j) gives j-th side
condition point (boundary point). One must have x_low<=zeta(j)
<= zeta(j+1)<=x_up
All side condition points must be mesh points in all meshes
used, see description of ipar(11) and
fixpnt below.
an array with 11 integer elements:
[nonlin, collpnt, subint, ntol, ndimf, ndimi, iprint,
iread, iguess, rstart,nfxpnt]
0 if the problem is linear, 1 if the problem is nonlinear
Gives the number of collocation points per subinterval where max(m(j)) <= collpnt <= 7
if ipar(2)=0 then
collpnt is set to max ( max(m(j))+1 ,
5-max(m(j)) )
Gives the number of subintervals in the initial mesh. if
ipar(3) = 0 then bvode arbitrarily sets
subint = 5.
Gives the number of solution and derivative tolerances.
We require 0 < ntol <= M. ipar(4)
must be set to the dimension of the tol
argument or to 0. In the latter case the
actual value will automatically be set to
size(tol,'*').
Gives the dimension of fspace (a real
work array). its value provides a constraint on nmax the
maximum number of subintervals.
The ipar(5) value must respect the constraint ipar(5)>=nmax*nsizef where
nsizef=4+3*M+(5+collpnt*N)*(collpnt*N+M)+(2*M-nrec)*2*M
(nrec is the number of right end boundary
conditions).
Gives the dimension of ispace (an integer work array). its value provides a constraint on nmax, the maximum number of subintervals.
The ipar(6) value must respect the constraint ipar(6)>=nmax*nsizei where
nsizei=3 +
collpnt*N+M.
output control, make take the following values:
for full diagnostic printout
for selected printout
for no printout
causes bvode to generate a uniform initial mesh.
Other values are not implemented yet in Scilab
if the initial mesh is provided by the user. it is defined in fspace as follows: the mesh
will occupy fspace(1), ...,
fspace(n+1). the user needs to supply only
the interior mesh points fspace(j) = x(j),
j = 2, ..., n.
as with ipar(8)=1, and in
addition no adaptive mesh selection is to be
done.
if no initial guess for the solution is provided.
if an initial guess is provided by the user
trought the argument guess.
if an initial mesh and approximate solution coefficients are provided by the user in fspace. (the former and new mesh are the same).
if a former mesh and approximate solution coefficients are provided by the user in fspace, and the new mesh is to be taken twice as coarse; i.e.,every second point from the former mesh.
if in addition to a former initial mesh and approximate solution coefficients, a new mesh is provided in fspace as well. (see description of output for further details on iguess = 2, 3, and 4.)
if the problem is regular
if the first relax factor is equal to ireg, and the nonlinear iteration does not rely on past covergence (use for an extra sensitive nonlinear problem only).
if we are to return immediately upon (a) two successive nonconvergences, or (b) after obtaining error estimate for the first time.
Gives the number of fixed points in the mesh other than
x_low and x_up (the
dimension of fixpnt).
ipar(11) must be set to the dimension of
the fixpnt argument or to
0. In the latter case the actual value will
automatically be set to
size(fixpnt,'*').
an array of dimension ntol=ipar(4).
ltol(j) = l specifies that the j-th tolerance in
the tol array controls the error in the l-th
component of
. It is also required that:
1 <= ltol(1) < ltol(2) < ... < ltol(ntol)
<= M
an array of dimension ntol=ipar(4).
tol(j) is the error tolerance on the
ltol(j) -th component of
. Thus, the code attempts to satisfy
on each subinterval
if
is the approximate solution vector an u the
exact solution (unknown).
an array of dimension nfxpnt=ipar(11). it
contains the points, other than x_low and
x_up, which are to be included in every mesh. The
code requires that all side condition points other than
x_low and x_up (see
description of zeta ) be included as fixed points in
fixpnt.
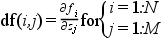
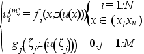
an external used to evaluate
the column vector f=
for any x such as x_low <= x <= x_up
and for any z=z(u(x)) (see description below)
The external must have the headings:
In Fortran the calling sequence must be:
subroutine fsub(x,zu,f) double precision zu(*), f(*),x
In C the function prototype must be
void fsub(double *x, double *zu, double *f)
And in Scilab
function f=fsub(x,zu,parameters)
an external used to evaluate
the Jacobian of f(x,z(u)) at a point x. Where
z(u(x)) is defined as for fsub
and the (N) by (M) array df
should be filled by the partial derivatives of f:

The external must have the headings:
In Fortran the calling sequence must be:
subroutine dfsub(x,zu,df) double precision zu(*), df(*),x
In C the function prototype must be
void dfsub(double *x, double *zu, double *df)
And in Scilab
function df=dfsub(x,zu,parameters)
an external used to evaluate
given z=
z = zeta(i) for
1<=i<=M.
The external must have the headings:
In Fortran the calling sequence must be:
subroutine gsub(i,zu,g) double precision zu(*), g(*) integer i
In C the function prototype must be
void gsub(int *i, double *zu, double *g)
And in Scilab
function g=gsub(i,zu,parameters)
Note that in contrast to f in fsub, here only one value per call is returned in g.
an external used to evaluate
the i-th row of the Jacobian of g(x,u(x)). Where
z(u) is as for fsub, i as for gsub and the
M-vector dg should be filled with the partial
derivatives of g, viz, for a particular call one calculates

The external must have the headings:
In Fortran the calling sequence must be:
subroutine dgsub(i,zu,dg) double precision zu(*), dg(*)
In C the function prototype must be
void dgsub(int *i, double *zu, double *dg)
And in Scilab
function dg=dgsub(i,zu,parameters)
An external used to evaluate
the initial approximation for z(u(x)) and
dmval(u(x)) the vector of the mj-th derivatives
of u(x). Note that this subroutine is used only
if ipar(9) = 1, and then all M
components of zu and N components of dmval should be computed for
any x such as x_low <= x <= x_up.
The external must have the headings:
In Fortran the calling sequence must be:
subroutine guess(x,zu,dmval) double precision x,z(*), dmval(*)
In C the function prototype must be
void fsub(double *x, double *zu, double *dmval)
And in Scilab
function [dmval,zu]=fsub(x,parameters)
It should be either:
any left part of the ordered sequence of values:
guess, dfsub, dgsub, fixpnt, ndimf, ndimi, ltol, tol,
ntol,nonlin, collpnt, subint, iprint, ireg, ifail
or any sequence of arg_name=argvalue
with arg_name in: guess,
dfsub, dgsub,
fixpnt, ndimf,
ndimi, ltol,
tol, ntol,
nonlin, collpnt,
subint, iprint,
ireg, ifail
Where all these arguments excepted ifail are
described above. ifail can be used to display the
bvode call corresonding to the selected optional arguments. If
guess is given iguess is set to
1
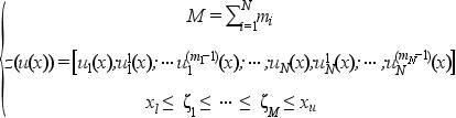
These functions solves a multi-point boundary value problem for a mixed order system of ode-s given by

Where

The argument zu used by the external functions
and returned by bvode is the column vector formed by
the components of z(u(x)) for a given x.
The method used to approximate the solution u is collocation at gaussian points, requiring m(i)-1 continuous derivatives in the i-th component, i = 1:N. here, k is the number of collocation points (stages) per subinterval and is chosen such that k .ge. max m(i). a runge-kutta-monomial solution representation is utilized.
The first two problems below are taken from the paper [1] of the Bibliography.
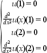
The problem 1 describes a uniformy loaded beam of variable stifness, simply supported at both end.
It may be defined as follow :
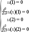
Solve the fourth order differential equation:

Subjected to the boundary conditions:

The exact solution of this problem is known to be:

N=1;// just one differential equation
m=4;//a fourth order differential equation
M=sum(m);
x_low=1;x_up=2; // the x limits
zeta=[x_low,x_low,x_up,x_up]; //two constraints (on the value of u and its second derivative) on each bound.
//The external functions
//Theses functions are called by the solver with zu=[u(x);u'(x);u''(x);u'''(x)]
// - The function which computes the right hand side of the differential equation
function f=fsub(x,zu),f=(1-6*x^2*zu(4)-6*x*zu(3))/x^3,endfunction
// - The function which computes the derivative of fsub with respect to zu
function df=dfsub(x,zu),df=[0,0,-6/x^2,-6/x],endfunction
// - The function which computes the ith constraint for a given i
function g=gsub(i,zu),
select i
case 1 then //x=zeta(1)=1
g=zu(1) //u(1)=0
case 2 then //x=zeta(2)=1
g=zu(3) //u''(1)=0
case 3 then //x=zeta(3)=2
g=zu(1) //u(2)=0
case 4 then //x=zeta(4)=2
g=zu(3) //u''(2)=0
end
endfunction
// - The function which computes the derivative of gsub with respect to z
function dg=dgsub(i,z)
select i
case 1 then //x=zeta(1)=1
dg=[1,0,0,0]
case 2 then //x=zeta(2)=1
dg=[0,0,1,0]
case 3 then //x=zeta(3)=2
dg=[1,0,0,0]
case 4 then //x=zeta(4)=2
dg=[0,0,1,0]
end
endfunction
// - The function which computes the initial guess, unused here
function [zu,mpar]=guess(x),zu=0;mpar=0,endfunction
//define the function which computes the exact value of u for a given x ( for testing purposes)
function zu=trusol(x)
zu=0*ones(4,1)
zu(1) = 0.25*(10*log(2)-3)*(1-x) + 0.5 *( 1/x + (3+x)*log(x) - x)
zu(2) = -0.25*(10*log(2)-3) + 0.5 *(-1/x^2 + (3+x)/x + log(x) - 1)
zu(3) = 0.5*( 2/x^3 + 1/x - 3/x^2)
zu(4) = 0.5*(-6/x^4 - 1/x/x + 6/x^3)
endfunction
fixpnt=[ ];//All boundary conditions are located at x_low and x_up
// nonlin collpnt n ntol ndimf ndimi iprint iread iguess rstart nfxpnt
ipar=[0 0 1 2 2000 200 1 0 0 0 0 ]
ltol=[1,3];//set tolerance control on zu(1) and zu(3)
tol=[1.e-11,1.e-11];//set tolreance values for these two controls
xpoints=x_low:0.01:x_up;
zu=bvode(xpoints,N,m,x_low,x_up,zeta,ipar,ltol,tol,fixpnt,...
fsub,dfsub,gsub,dgsub,guess)
//check the constraints
zu([1,3],[1 $]) //should be zero
plot(xpoints,zu(1,:)) // the evolution of the solution u
zu1=[];for x=xpoints,zu1=[zu1,trusol(x)]; end;
norm(zu-zu1)
Same problem using bvodeS and an initial guess
function [z,lhS]=zstart(x) z=zeros(5,1);z(5)=1; lhS=[0;1]; endfunction zu=bvode(xpoints,N,m,x_low,x_up,zeta,ltol=ltol,tol=tol,guess=zstart)
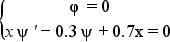
The problem 2 describes the small finite deformation of a thin shallow spherical cap of constant thickness subject to a quadratically varying axisymmetric external pressure distribution. Here phi is the meridian angle change of the deformed shell and psi is a stress function. For eps=mu=1e-3 two different solutions may found depending on the starting point

Subject to the boundary conditions

for x=0 and x=1
N=2;// two differential equations
m=[2 2];//each differential equation is of second order
M=sum(m);
x_low=0;x_up=1; // the x limits
zeta=[x_low,x_low, x_up x_up]; //two constraints on each bound.
//The external functions
//Theses functions are called by the solver with zu=[u1(x);u1'(x);u2(x);u2'(x)]
// - The function which computes the right hand side of the differential equation
function f=fsub2(x,zu,eps,dmu,eps4mu,gam,xt),
f=[zu(1)/x^2-zu(2)/x+(zu(1)-zu(3)*(1-zu(1)/x)-gam*x*(1-x^2/2))/eps4mu //phi''
zu(3)/x^2-zu(4)/x+zu(1)*(1-zu(1)/(2*x))/dmu];//psi''
endfunction
// - The function which computes the derivative of fsub with respect to zu
function df=dfsub2(x,zu,eps,dmu,eps4mu,gam,xt),
df=[1/x^2+(1+zu(3)/x)/eps4mu, -1/x, -(1-zu(1)/x)/eps4mu, 0
(1-zu(1)/x)/dmu 0 1/x^2 -1/x];
endfunction
// - The function which computes the ith constraint for a given i
function g=gsub2(i,zu),
select i
case 1 then //x=zeta(1)=0
g=zu(1) //u(0)=0
case 2 then //x=zeta(2)=0
g=-0.3*zu(3) //x*psi'-0.3*psi+0.7x=0
case 3 then //x=zeta(3)=1
g=zu(1) //u(1)=0
case 4 then //x=zeta(4)=1
g=1*zu(4)-0.3*zu(3)+0.7*1 //x*psi'-0.3*psi+0.7x=0
end
endfunction
// - The function which computes the derivative of gsub with respect to z
function dg=dgsub2(i,z)
select i
case 1 then //x=zeta(1)=1
dg=[1,0,0,0]
case 2 then //x=zeta(2)=1
dg=[0,0,-0.3,0]
case 3 then //x=zeta(3)=2
dg=[1,0,0,0]
case 4 then //x=zeta(4)=2
dg=[0,0,-0.3,1]
end
endfunction
gam=1.1
eps=1d-3
dmu=eps
eps4mu=eps^4/dmu
xt=sqrt(2*(gam-1)/gam)
fixpnt=[ ];//All boundary conditions are located at x_low and x_up
collpnt=4;
nsizef=4+3*M+(5+collpnt*N)*(collpnt*N+M)+(2*M-2)*2*M ;
nsizei=3 + collpnt*N+M;;
nmax=200;
// nonlin collpnt n ntol ndimf ndimi iprint iread iguess rstart nfxpnt
ipar=[1 k 10 4 nmax*nsizef nmax*nsizei -1 0 0 0 0 ]
ltol=1:4;//set tolerance control on zu(1) zu(2 ) zu(3) and zu(4)
tol=[1.e-5,1.e-5,1.e-5,1.e-5];//set tolreance values for these four controls
xpoints=x_low:0.01:x_up;
zu=bvode(xpoints,N,m,x_low,x_up,zeta,ipar,ltol,tol,fixpnt,...
fsub2,dfsub2,gsub2,dgsub2,guess2);
scf(1);clf();plot(xpoints,zu([1 3],:)) // the evolution of the solution phi and psi
//using an initial guess
// - The function which computes the initial guess, unused here
function [zu,dmval]=guess2(x,gam),
cons=gam*x*(1-x^2/2)
dcons=gam*(1-3*x^2/2)
d2cons=-3*gam*x
dmval=zeros(2,1)
if x>xt then
zu=[0 0 -cons -dcons]
dmval(2)=-d2cons
else
zu=[2*x;2;-2*x+cons;-2*dcons]
dmval(2)=d2cons
end
endfunction
ipar(9)=1;//iguess
zu2=bvode(xpoints,N,m,x_low,x_up,zeta,ipar,ltol,tol,fixpnt,...
fsub2,dfsub2,gsub2,dgsub2,guess2);
scf(2);clf();plot(xpoints,zu2([1 3],:)) // the evolution of the solution phi and psi
An eigenvalue problem:
// y''(x)=-la*y(x)
// BV: y(0)=y'(0); y(1)=0
// Eigenfunctions and eigenvalues are y(x,n)=sin(s(n)*(1-x)), la(n)=s(n)^2,
// where s(n) are the zeros of f(s,n)=s+atan(s)-(n+1)*pi, n=0,1,2,...
// To get a third boundary condition, we choose y(0)=1
// (With y(x) also c*y(x) is a solution for each constant c.)
// We solve the following ode system:
// y''=-la*y
// la'=0
// BV: y(0)=y'(0), y(0)=1; y(1)=0
// z=[y(x) ; y'(x) ; la]
function rhs=fsub(x,z)
rhs=[-z(3)*z(1);0]
endfunction
function g=gsub(i,z)
g=[z(1)-z(2) z(1)-1 z(1)]
g=g(i)
endfunction
// The following start function is good for the first 8 eigenfunctions.
function [z,lhs]=ystart(x,z,la0)
z=[1;0;la0]
lhs=[0;0]
endfunction
a=0;b=1;
m=[2;1];
n=2;
zeta=[a a b];
N=101;
x=linspace(a,b,N)';
// We have s(n)-(n+1/2)*pi -> 0 for n to infinity.
la0=input('n-th eigenvalue: n= ?');la0=(%pi/2+la0*%pi)^2;
z=bvodeS(x,m,n,a,b,fsub,gsub,zeta,ystart=list(ystart,la0));
clf()
plot(x,[z(1,:)' z(2,:)'])
xtitle(['Startvalue = '+string(la0);'Eigenvalue = '+string(z(3,1))],'x',' ')
legend(['y(x)';'y''(x)'])
A boundary value problem with more than one solution.
// DE: y''(x)=-exp(y(x))
// BV: y(0)=0; y(1)=0
// This boundary value problem has more than one solution.
// It is demonstrated how to find two of them with the help of
// some preinformation of the solutions y(x) to build the function ystart.
// z=[y(x);y'(x)]
a=0;b=1;m=2;n=1;
zeta=[a b];
N=101;
tol=1e-8*[1 1];
x=linspace(a,b,N);
function rhs=fsub(x,z),rhs=-exp(z(1));endfunction
function g=gsub(i,z)
g=[z(1) z(1)]
g=g(i)
endfunction
function [z,lhs]=ystart(x,z,M)
//z=[4*x*(1-x)*M ; 4*(1-2*x)*M]
z=[M;0]
//lhs=[-exp(4*x*(1-x)*M)]
lhs=0
endfunction
for M=[1 4]
if M==1
z=bvodeS(x,m,n,a,b,fsub,gsub,zeta,ystart=list(ystart,M),tol=tol);
else
z1=bvodeS(x,m,n,a,b,fsub,gsub,zeta,ystart=list(ystart,M),tol=tol);
end
end
// Integrating the ode yield e.g. the two solutions yex and yex1.
function y=f(c),y=c.*(1-tanh(sqrt(c)/4).^2)-2;endfunction
c=fsolve(2,f);
function y=yex(x,c)
y=log(c/2*(1-tanh(sqrt(c)*(1/4-x/2)).^2))
endfunction
function y=f1(c1), y=2*c1^2+tanh(1/4/c1)^2-1;endfunction
c1=fsolve(0.1,f1);
function y=yex1(x,c1)
y=log((1-tanh((2*x-1)/4/c1).^2)/2/c1/c1)
endfunction
disp(norm(z(1,:)-yex(x)),'norm(yex(x)-z(1,:))= ')
disp(norm(z1(1,:)-yex1(x)),'norm(yex1(x)-z1(1,:))= ')
clf();
subplot(2,1,1)
plot2d(x,z(1,:),style=[5])
xtitle('Two different solutions','x',' ')
subplot(2,1,2)
plot2d(x,z1(1,:),style=[5])
xtitle(' ','x',' ')
A multi-point boundary value problem.
// DE y'''(x)=1
// z=[y(x);y'(x);y''(x)]
// BV: y(-1)=2 y(1)=2
// Side condition: y(0)=1
a=-1;b=1;c=0;
// The side condition point c must be included in the array fixpnt.
n=1;
m=[3];
function rhs=fsub(x,z)
rhs=1
endfunction
function g=gsub(i,z)
g=[z(1)-2 z(1)-1 z(1)-2]
g=g(i)
endfunction
N=10;
zeta=[a c b];
x=linspace(a,b,N);
z=bvodeS(x,m,n,a,b,fsub,gsub,zeta,fixpnt=c);
function y=yex(x)
y=x.^3/6+x.^2-x./6+1
endfunction
disp(norm(yex(x)-z(1,:)),'norm(yex(x)-z(1,:))= ')
This function is based on the Fortran routine
colnew developped by
U. Ascher, Department of Computer Science, University of British Columbia, Vancouver, B.C. V6T 1W5, Canada
G. Bader, institut f. Angewandte mathematik university of Heidelberg; im Neuenheimer feld 294d-6900 Heidelberg 1
This help is based on the original colnew.f comments, adapted to Scilab by J.P Chancelier ENPC, on the bvodeS help page due to Rainer von Seggern, both merged and revised by S. Steer INRIA
U. Ascher, J. Christiansen and R.D. Russell, collocation software for boundary-value ODEs, acm trans. math software 7 (1981), 209-222. this paper contains EXAMPLES where use of the code is demonstrated.
G. Bader and U. Ascher, a new basis implementation for a mixed order boundary value ode solver, siam j. scient. stat. comput. (1987).
U. Ascher, J. Christiansen and R.D. Russell, a collocation solver for mixed order systems of boundary value problems, math. comp. 33 (1979), 659-679.
U. Ascher, J. Christiansen and R.D. russell, colsys - a collocation code for boundary value problems, lecture notes comp.sc. 76, springer verlag, b. childs et. al. (eds.) (1979), 164-185.
C. Deboor and R. Weiss, solveblok: a package for solving almost block diagonal linear systems, acm trans. math. software 6 (1980), 80-87.